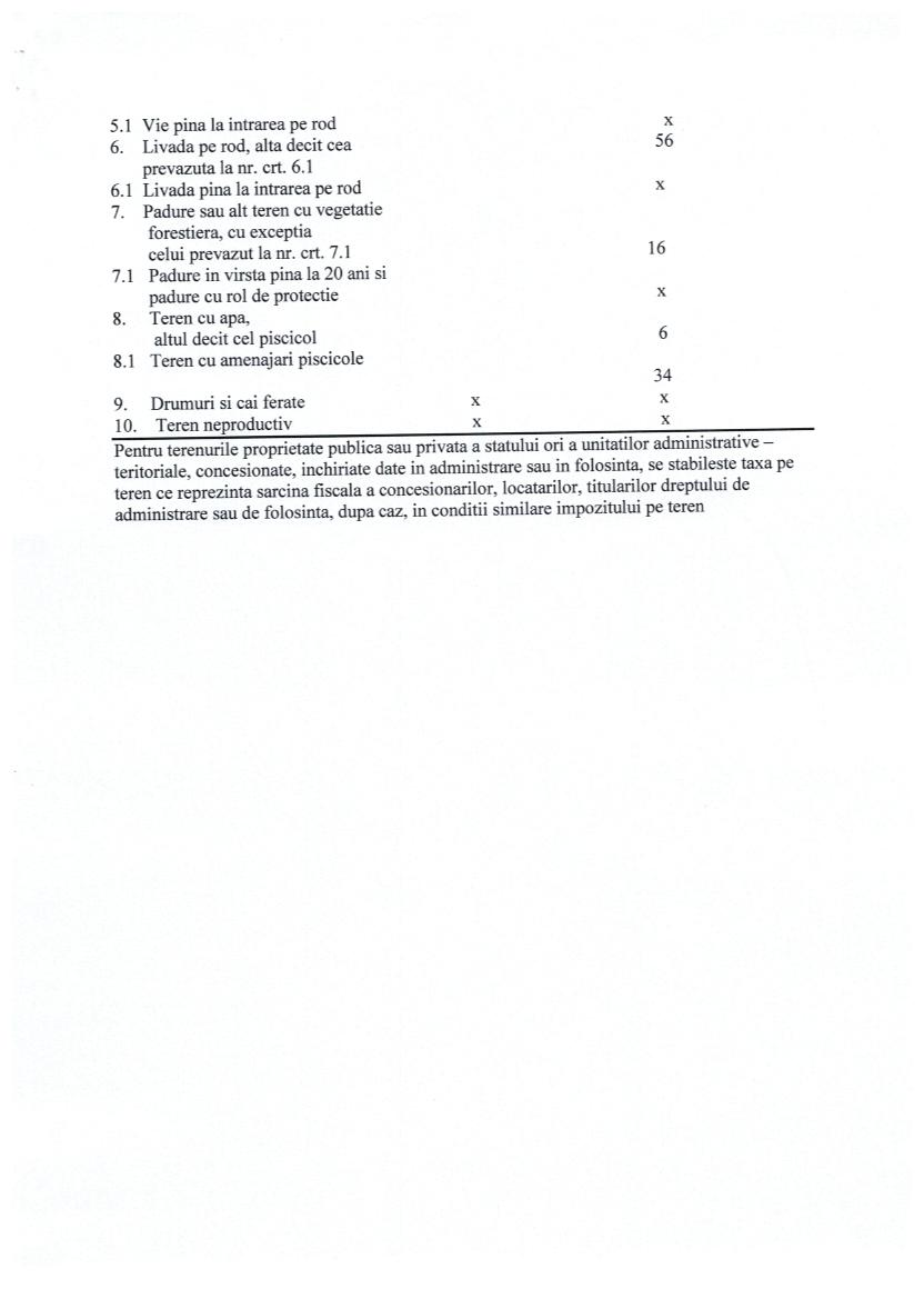
Hot nr 59 priviind stabilirea impozitelor si taxelor locale pe 2016 in comuna Moftin

 
 


STATISTICI

  • Utilizatori 1
  • Articole 300
  • Afișări articole 744657


DATE DE CONTACT

Moftinu Mic, jud. Satu-Mare, Romania (UE)
Strada Principala, nr. 219
Tel: 0261 875 116
Fax: 0261 875 116
Luni - Vineri: 08.00-16.00
Această adresă de email este protejată contra spambots. Trebuie să activați JavaScript pentru a o vedea.